编译引论(第五章)
语法分析——自底向上分析
**自底向上的语法分析需要解决的关键问题是:如何确定可归约串(即可以归约的字符串)以及每个可归约串用哪个产生式左部的非终结符来归约?针对这些问题的不同解决方法,本章将描述以下两类分析算法:算法优先分析法和LR分析法。其中,LR分析法在目前编译程序中的应用最为广泛,它包括一组分析能力不同的四个算法,按照分析能力从弱到强分别是:LR(0)、SLR(1)、LALR(1)和LR(1)。 **
自底向上的语法分析概述
自底向上语法分析器的体系结构

它主要包括四个组成部分:待分析的输入符号串、分析栈、语法分析总控程序以及语法分析表。
在自底向上的语法分析过程中,语法分析的总控程序从左向右地逐个扫描输入字符,根据栈顶元素A和输入符号a所构成的二元组<A,a>查语法分析表,以执行不同的分析动作。其分析动作一共有四种,分别如下:
- 移进:把输入串的当前符号a压入栈顶,并把指针指向下一个输入符号;
- 归约:把自栈顶A向下的若干个符号用某个产生式左端的非终结符替换;
- 接受:表示语法分析成功,此时分析栈的指针指向栈内的唯一符号(即文法的开始符号),输入串指针指向结束符号#;
- 出错:发现源程序有语法错,调用出错处理程序。
自底向上分析的归约过程
例:

实际上,规范归约过程是最右推导的逆过程,从表5.1可以看出,表中从下往上的六个归约正好对应了最右推导(规范推导)的六个步骤
$E \Rightarrow E+T \Rightarrow E+F \Rightarrow E+i \Rightarrow T+i \Rightarrow F+i \Rightarrow i+i$
显然,该语法分析过程还可以用一棵语法分析树表示出来。

LR分析法
LR分析法概述
- LR分析法是一类分析方法的简称,通常记为LR(k)分析法
- L是指从左至右方式扫描输入串;
- R是指最右推导(规范推导)的逆过程;
- K是指每次根据当前输入符号最多向前查看K个符号就可以确定下一步动作;
- 本章重点介绍LR(0) 分析表的构造算法及相关知识。
规范归约(最左归约一最右推导的逆过程)的关键问题是寻找句柄。在一般的“移进-归约”过程中,当一串貌似句柄的符号串出现在栈顶时,用什么方法来判断它是否为一个真正的句柄呢?
LR方法的基本思想是,在规范归约过程中,一方面记住已移进和归约出的整个符号串,即记住“历史”,另一方面根据所用的产生式推测未来可能碰到的输入符号,即对未来进行“展望”。当一串貌似句柄的符号串呈现于分析栈的顶端时,我们希望能够根据所记载的“历史”和“展望”以及“现实”的输入符号等三方面的材料,来确定栈顶的符号串是否构成相对某一产生式的句柄
-
LR(k)分析器的结构
- 分析栈(含状态栈和符号栈)
- 总控程序(也称为驱动程序)
- 分析表(分析动作表和状态转换表)

-
LR分析表构成
LR分析表是LR分析器的核心部分,它由两张表组成:一是动作表(即action表);二是状态转换表(即goto表),见表5.6。表中的$S_1,S_2,…, S_n$为分析器的各个状态;$a_1,a_2,…,a_m$为文法的全部终结符号及右界符’#’;$A_1,A_2,…,A_k$为文法的非终结符号。

在action表中,$action[S_i,a_j]$(即$S_i$所在的行与$a_j$所在的列对应的单元)表示当分析状态栈的栈顶为$S_i$,输入符号为$a_j$时应执行的动作。
在goto表中,$goto[S_i,A_j]$(即$S_i$行$A_j$列对应的单元)表示当前状态为$S_i$而符号栈顶为非终结符号$A_j$后应移入状态栈的状态。
action表的动作有以下4种:
- 移进($S_m$)。将输入符号$a_j$移进符号栈,将状态m移进状态栈,输入指针指向下一个输入符号。
- 归约($r_j$)。当栈顶形成句柄时,按照第j条产生式(如U→ω)进行归约。若产生式右部ω的长度为x,则将符号栈栈顶x个符号和状态栈栈顶x个状态出栈,然后将归约后的文法非终结符号U移入符号栈,并根据此时状态栈顶的状态$S_i$及符号栈顶的符号U,查goto表,将$goto[S_i,U]$移入状态栈。
- 接受(acc)。当输入符号串到达右界符’#‘时,且符号栈只有文法的开始符号时,则宣布分析成功,接受输入符号串。
- 报错(Error)。当状态栈顶的状态为$S_i$时,如果输入符号为不应该遇到的符号时,即$action[S_i,a_j]$=空白,则报错,调用出错处理程序。
-
LR分析步骤
-
将初始状态0、句子的左界符#分别进状态栈和符号栈。
-
从输入串中读入当前输入符a,然后由状态栈栈顶元素i与当前输入字符a查action表,决定应取何种动作。
若$action[i,a]=s_j$,则将状态j及相应的输入符a分别移入状态栈和符号栈栈顶。
若$action[i,a]=r_j$,则按第j个生产式A→β右部符号β的长度t分别将符号栈、状态栈栈顶t个元素上托出栈,将归约后的A移入符号栈。据此时状态栈栈顶元素 i与归约后的非终结符A,查goto表的[i,A]项,设得到状态j,则将状态j移入状态栈栈顶。
若为action[i,a]=acc,则结束分析,输入串被接受。
否则转错误处理程序。
-
重复2的工作,直到接受或出错为止。

-
例:

LR(0)分析器
**拓广文法 **
给定文法G,S是其开始符号,G的拓广文法是G,其开始符号为S,区别在于后者仅增加一个产生式$S’ \rightarrow S$,把它作为第0个产生式添加到文法G中。 例如:文法G[A]: $A \rightarrow (A) , A \rightarrow a$ 则该文法的拓广文法G ‘[A ‘]:
$A’ \rightarrow A, A \rightarrow (A),A \rightarrow a $
-
活前缀与可规前缀
自下而上的移进——规约分析,是对句柄进行规范规约,它是规范推导的逆过程,规范推导出来的句型是规范句型。一个符号串的前缀是指该串的任意首部,包括$\varepsilon$。
对于一个规范句型来说,其活前缀定义如下:
设λβt是一个规范句型,即λβt是能用最右推导得到的句型,其中β表示句柄,$t∈V_T^*$ ,如果$λβ= u_1u_2…u_r$,那么称符号串$u_1u_2…u_i$(其中l≤i≤r)是句型λβt的活前缀。
从活前缀的定义可知,一个规范句型的活前缀可以有多个,但观察这些活前缀,会发现其中活前缀$u_1,u_1u_2, u_1u_2…u_{r-1}$不含有完整句柄β,只有活前缀$u_1u_2…u_r$含有完整句柄β,那么这个含有句柄的活前缀$u_1u_2…u_r$称为可归前缀,是最长的活前缀。
从上述定义可知,活前缀不含句柄右边的任意符号,而可归前缀是含有句柄的活前缀。对一个规范句型来说,活前缀可有多个,可归前缀只有一个。
例:

-
LR(0)项目
定义:在文法G的每一个产生式右部的某个位置添加一个“·”,点号左边表示该产生式的右部在符号栈的栈顶已经出现的部分,点号右边表示如果要用该产生式进行规约,还应该出现的部分。
一般产生式$A\rightarrow β$对应的项目个数为| β |+1,特别地,产生式$A \rightarrow ε$的项目个数为1,即$A\rightarrow .$
$A \rightarrow ·AB $ 希望看到从输入串中与AB对应的符号串。
$A \rightarrow A·B $ 已识别出由A对应的输入符号,并希望看到与B对应的输入串。
$A \rightarrow AB· $ 与AB对应的输入串已经识别出来,可以进行规约
项目的分类
不同的项目反映了分析过程中栈顶的不同情况,因此我们可以根据它们的不同作用,将一个文法的全部L(0)项目进行分类:
-
对于形如$A\rightarrow α·$ 项目,因为它表示右部符号串α(可为ε)已经出现在栈顶,此时相应的动作应该是按此产生式进行归约,故将此项目称为归约项目。
-
项目$S’ \rightarrow S·$仅用于分析过程中最后一次归约,所以称为接受项目。
-
对于形如$A\rightarrow α· Xβ$的项目,其中α可以为空符号串:
当X为终结符号时,相应的分析动作应该将当前的输入符号移入栈中,我们称它为移进项目;
当X为非终结符号时,由于我们期待着从余留的输入串中进行归约而得到X,因此此类项目为待约项目;
注: 有的书上还把$S’ \rightarrow · S$称为开始项目,也可称为待约项目
例:

LR(0)项目集规范族的构造
-
项目集的闭包运算
设I为项目集(即由项目组成的集合),构造I的闭包函数CLOSURE(I)的算法如下
- I中的每一基本项目都属于它;
- 若$A\rightarrow \alpha ·B \beta$属于CLOSURE(I),且$B\rightarrow \gamma$是文法中的一个产生式,则关于非终结符B的任何形如$B\rightarrow· \gamma$的项目也属于它;
- 重复上述步骤,直到它不再增大为止

-
项目集之间的转换函数go
设$I_i$是文法的G[S]的一个LR(0)项目集,非空符号$X \in V_T∪V_N$,定义$I_i$及X间的函数为
$go(I_i, X)=CLOSURE (J) =I_J$
其中$J={A\rightarrow \alpha X·\beta \in A\rightarrow \alpha·X \beta \in I_i}$
- 先找出Ii中所有形如$A\rightarrow \alpha·X \beta$的项目;
- 然后将它们变成$A\rightarrow \alpha X·\beta$放入集合J中;
- 再求CLOSURE (J);

LR(0)项目集规范族的构造方法
要构造识别所有规范句型全部活前缀的DFA,首先要确定DFA的状态,而每一个状态都是由若干个LR(0)项目组成的集合,称为项目集。对于构成识别一个文法活前缀的DFA的项目集的全体,称为这个文法的LR(0)项目集规范族( 即DFA的所有状态)
对于LR(0)项目集规范族——在CLOSURE(I)和go(Ii, X)作用下,可获得的项目集的全体C
- 令$C={I_0}$ ,其中$I_0=CLOSURE$({开始项目,如$S’\rightarrow ·S$})
- 对每个$I_i\in C$和$I_i$中形如“· X”的项目,若$go(I_i, X)$非空且不属于C,则将$go(I_i, X)$之值加入C
- 重复2直至C不再增大

构造识别所有规范句型全部活前缀的DFA
方法:
- 把文法的LR(0)项目集规范族中的每一个项目集作为DFA的一个状态;
- 把含有开始项目的项目集作为DFA的初态;
- 每一个项目集都是DFA的终态;
- 把文法的终结符和非终结符作为DFA的字母表;
- $go(I_i, X)$作为单值转换函数

构造LR(0)分析表的算法
-
若项目$A \rightarrow \alpha ·x \beta \in I_i$ ,且$go(I_i, x)=I_j$
若$x \in V_T$ ,则置$ACTION[i , x]= S_j$
若$x \in V_N $,则置GOTO[i, x]=j。
-
若项目$A \rightarrow \alpha ·\in I_i$,对于任何输入符号$a\in (V_T∪{#})$,则置$ACTION[i,a]=r_j$,即“用第j条产生式$A \rightarrow \alpha $进行归约”(这里假定 $ A \rightarrow \alpha $ 是G’中的第j条产生式)
-
若项目$S’ \rightarrow S· \in I_k $,则置ACTION[ k , # ]=acc
-
分析表中凡不能用规则1~3填入信息的元素均置上ERROR(用空白表示)
可以通过识别活前缀的DFA来构造LR(0)分析表

LR(0)分析器的工作过程
分析表是LR分析的关键,有了分析表后就可以在总控程序的控制下对输入符号串进行分析,其分析如下:
- $action[S,a]=S_j$, S为状态,a为终结符,则把a移入符号栈,状态j移入状态栈
- 若$action[S,a]=r_j$,a为终结符或’#’,则用第j个产生式归纳约;设k为第j个产生式右部的符号 长度,将符号栈和状态栈顶的k个元素出栈,将产生式左部符号入符号栈;
- 若action[S,a]=“acc”,a为’#’,则为接受,表示分析成功
- 若goto[S,A]=j,A为非终结符号并且是符号栈的栈顶,表示前一个动作是归约,A是归约后移入符号栈的非终结符,则将状态j移入状态栈
- 若action[S,a]=空白,则转入错误处理。

构造LR(0)分析表的步骤小结
- 写出给定文法G的拓广文法G;
- 写出文法G的基本LR(0)项目——G’的LR(0)项目集;
- 利用CLOSURE和go函数,求出相应的LR(0)项目集规范族C;
- 构造识别该文法全部活前缀的DFA
- 根据算法构造LR(0)分析表。
语法分析(2)——SLR(1)分析方法


观察上面的项目集会发现$I_1、I_2$和$I_9$,都存在“移进-归约”冲突。比如项目集I2包含两个项目,其中项目E→T·是归约项目,而另外一个项目E→T·*F是移进项目。故,该文法不是LR(0)文法。
按照LR(0)分析表的构造方法可得到分析表见表。

LR(0)文法
如果文法G’的项目集规范族的每个项目集中不存在下述任何冲突项目:
- 移进项目和归约项目并存;
- 多个归约项目并存;
则称文法G’为LR(0)文法。
例:

SLR(1)分析法
例:文法G(S)的LR(0)项目集规范族中有这样一个项目集:
$I_3={X\rightarrow \alpha · b \beta, A \rightarrow \alpha · ,B \rightarrow \alpha · }$
且假设$go(I_3, b)=I_4 $
- $A \rightarrow \alpha$
- $B \rightarrow \alpha$
分析:由LR(0)项目集规范族构造LR(0)分析表的算法有:

所以 $ACTION[3, b]= S_4$或$r_1$或$r_2$是多重定义元素,故该分析表不是LR(0)分析表,该文法也不是LR(0)文法。
当文法的LR(0)项目集规范族中的项目集出现冲突时,就不能采用LR(0)分析法。实际上,在通过文法的LR(0)项目集规范族构造LR(0)分析表时,若项目$A \rightarrow \alpha.\in I_i$,对于任何输入符号$a\in (V_T∪{#})$,都置$ACTION[i,a]=r_j$,即“用第j条产生式$A\rightarrow \alpha$进行归约”。也就是当$\alpha$在符号分析栈顶部时,我们就进行归约,此时我们根本就不管下一个输入符号是什么。
当然我们还有其他的分析方法,就是在不改变文法的LR(0)项目集规范族的前提条件下,采用向前看一个输入符号的方法来解决项目集中的冲突(即SLR(1)分析法).只不过虽然允许项目冲突,但此时对于项目集中的项目,还有其它的要求
比如在LR(0)项目集规范族中有这样一个项目集:
$I={X \rightarrow \alpha · b \beta, A \rightarrow \alpha · ,B \rightarrow \alpha · }$
-
对于归约项目:
$A \rightarrow \alpha · ,B \rightarrow \alpha · $
求FOLLOW(A), FOLLOW(B)
-
对于移进项目:
$X \rightarrow \alpha · b \beta$
求FIRST($b\beta$)
如果这三个集合存在下列关系:
$FOLLOW(A)∩FOLLOW(B)∩ FIRST(b\beta)= φ $
则通过向前看一个输入符号,移进或归约动作便可唯一确定,即可采用采用SLR(1)分析法。
SLR(1)分析法解决LR(0)项目冲突
-
设LR(0)项目集规范族的某个项目集I中含有i个移进项目$A_i\rightarrow \alpha.a_i \beta _i$和j个归约项目$B_j\rightarrow \alpha$·
-
若已知集合{$a_1, a_2, …,a_i$}, $FOLLOW(B_1)$, …, $FOLLOW(B_j)$两两不相交,则I中的冲突动作可通过查看当前输入符号a属于上述j+1个集合中的哪一个集合而获得解决,即
- 若$a\in {a_1,a_2, …,a_i}$,则移进a;
- 若$a\in FOLLOW(B_k)$,k=1,2, …, j,则用产生式$B_k\rightarrow \alpha$进行归约
- 其它则报错
这种解决动作冲突的办法称为SLR(1)分析法
SLR分析表的构造
构造SLR(1)分析表的方法:
-
**若项目[$A\rightarrow \alpha·X \beta$]$\in I_i$且$goto(I_i, X)=I_j$ **
若X为终结符,则置$ACTION[i,X]= s_j$;
若X为非终结符,则置GOTO[i,A]=j ;
-
若项目$[A \rightarrow \alpha·] \in I_i$则对所有a(或#)$\in FOLLOW(A)$,置$ACTION[i,a]= r_k$ ;
-
若项目$[S’ \rightarrow S·]\in I_i$,则置ACTION[i,#]= acc;
-
分析表中凡没有由步骤1至3所定义的表项都置上ERROR(用空白表示)
如果用上述方法构造的分析表无多重定义元素,则称该分析表为SLR(1)分析表,相应的文法称为SLR(1)文法。
现在按照SLR(1)分析表的构造方法,可以得到SLR(1)分析表,如图1所示。注意与表2比较,从而找出与LR(0)分析表的构造方法的不同点
图1:

图2:

虽然SLR(1)与LR(0)的分析表构造方法略有不同,但它们的分析器的工作过程却完全一样。利用表1分析符号串″i *i#″的分析过程见表3。

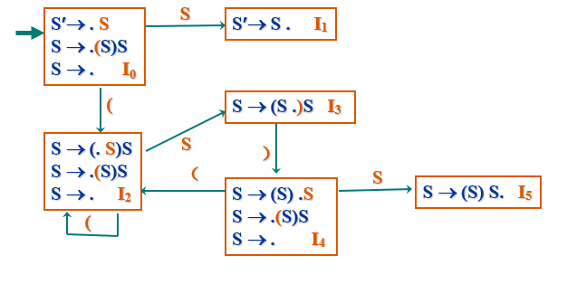
例:考虑文法G(S’):
0 $S’\rightarrow S$
1 $S \rightarrow (S)S$
2 $S \rightarrow ε $
分析:
-
构造识别该文法的所有规范句型的活前缀的DFA,如下图所示

-
对归约项目左部符号求FOLLOW集,有FOLLOW(S)={ ) ,# }
-
根据SLR(1)分析表的构造方法,由它的DFA得到分析表如下

同一个DFA,在构造LR(0)分析表和SLR(1)分析表,主要的区别在于:对于归约项目的动作,一个不需要考虑下一个输入符号,而另一个不需要。







