算法与程序(第五章)
回溯法
回溯法
-
当需要找出问题的解集或者要求满足某些约束条件的最优解时,常使用回溯法
-
回溯法的基本方法就是搜索,是一种组织得井井有条的,能避免不必要搜索的穷举式搜索法
-
这种方法适用于解一些组合数相当大的问题,如排列、子集。0-1背包问题、n皇后安排问题等可以使用回溯法
-
回溯法在问题的解空间树中,按深度优先策略,从根结点出发搜索整个解空间树
-
算法搜索至解空间树的任意一结点时,先判断该结点是否包含问题 的解
-
如果不包含,跳过对该结点为根的子树的搜索,返回该结点的父结 点,继续对该结点兄弟结点的搜素(若有)。否则,进入该子树, 继续按深度优先策略搜索
-
问题的解向量:回溯法希望一个问题的解能够表示成一个n元组 (x1,x2,…,xn)
0-1背包问题n元组?
xi取0或1组成的n元组
-
显约束:对分量xi的取值限定。
-
隐约束:为满足问题的解而对不同分支施加的约束。
-
解空间:对于问题的一个实例,解向量满足显式约束条件的所有n元组,构成 了该实例的一个解空间。组织成一棵树 $\Rightarrow$解空间树
注意:同一个问题可能有不同的解空间树表 示,有些表示方法更简单,解空间更小,搜 索方法更快。
-
扩展结点一个正在产生儿子的结点称为扩展结点
-
活结点:一个自身已生成但其儿子还没有全部生成的结点称做活结点
-
死结点:一个所有儿子已经产生的结点称做死结点
-
深度优先的问题状态生成法(演示):
如果对一个扩展结点R,一旦产生了它的一个儿子C,就把C当做新的 扩展结点,R成为活结点。在完成对子树C(以C为根的子树)的穷尽搜索 之后,将R重新变成扩展结点,继续生成R的下一个儿子(如果存在)。 R的全部孩子结点产生完毕,R成为死结点。

-
宽度优先的问题状态生成法:在一个扩展结点变成死结点之前,它 一直是扩展结点(第六章内容)
-
回溯法为了避免生成那些不可能产生最佳解的问题状态,要不断地 利用剪枝函数来处死那些实际上不可能产生所需解或最优解的儿子 结点,以减少问题的计算量。
-
具有剪枝函数的深度优先生成树法称为回溯法
回溯法的基本思想
- 针对所给问题,定义问题的解空间(所有可能的解集合)
- 确定易于搜索的解空间结构(树);
- 以深度优先方式搜索解空间,并在搜索过程中用剪枝函 数避免无效搜索。
常用剪枝函数:
用约束函数在扩展结点处剪去不满足约束的子树;
用限界函数剪去得不到最优解的子树
回溯法解题的一个显著特征是:在搜索过程中动态产生问题的 解空间树,即边搜索边扩展分支。
(不同于数据结构中树的深度遍历方法,先创建树, 再深度遍历)
在任何时刻,算法只保存从根结点到当前扩展结点的路径。
若解空间树中从根结点到叶结点的最长路径的长度为h(n),则回 溯法所需的计算空间通常为O(h(n))。
显式地存储整个解空间则需要$O(2^{h(n)})$或O(h(n)!)的内存空间
递归回溯算法框架
回溯法对解空间作深度优先搜索,一般用递归算法实现回溯法。
void backtrack (int t)
{
if (t>n) output(x);
else
for (int i=f(n,t);i<=g(n,t);i++)
{
x[t]=h(i);
if (constraint(t)&&bound(t))
backtrack(t+1);
}
}
当前扩展结点依次生成其各孩子结点,并记住路 径信息,如果孩子结点满足约束条件和限界条件, 则继续搜索孩子结点为根的子树(递归调用)

子集树与排列树的回溯算法框架
遍历子集树需$O(2^n)$计算时间
void backtrack (int t)
{
if (t>n) output(x);
else
for (int i=1;i>=0;i--) {
x[t]=i;
if (legal(t)) backtrack(t+1);
}
}

遍历排列树需要O(n!)计算时间
void backtrack (int t)
{
if (t>n) output(x);
else
for (int i=t;i<=n;i++) {
swap(x[t], x[i]);
if (legal(t)) backtrack(t+1);
swap(x[t], x[i]);
}
}


装载问题
共n个集装箱要装上2艘载重量分别为c1和c2的轮船,其中集装箱i的重量为wi, 且 $\stackrel{n}{\sum\limits_{i=1}} w_i \leq c_i+c_2$ 。装载问题要求确定是否有一个合理的装载方案可将这些集装 箱装上这2艘轮船。如果有,找出一种装载方案
最优装载方案:
- 首先将第一艘轮船尽可能装满;
- 将剩余的集装箱装上第二艘轮船
将第一艘轮船尽可能装满等价于选取全体集装箱 的一个子集,使该子集中集装箱重量之和最大。

以3个集装箱装船为例



用回溯法解装载问题的时间复杂性是O(2n)。在某些情况下该算法优于动态规划算法。
回溯法算法如何计算其复杂性呢?
- 计算出解空间树中除叶子层之外的结点总数f(n)
- 每个非叶子结点搜索其下一层所有分支的时间复杂性(分、合)g(n),
- 复杂性为O(f(n)*g(n))
以最优装载问题为例, $f(n)=2^n-1, g(n)=O(1)$,其时间 复杂性为$O(2 ^n$)
也可用递归方程描述:T(n)=2T(n-1)+O(1),n>0, T(1)=1;
本章讨论时间复杂性只有理论意义,没有实际意义,因为计算的是在没有任何剪 枝的情况下的时间复杂性, 实际上效率要好很多。

批处理作业调度
n个作业集合{1,2,…,n}。每个作业先由机器1处理,再由机器2处理。作业i需 要机器j的处理时间为$M_{ij}$。

对于一个确定的作业调度,设Fij是作业i在机器j上完成的具体时间。
所有作业在机器2上完成的具体时间(时刻)之和f称为该作业调度的完成时间和。
要求:对于给定的n个作业,制定最佳作业调度方案(一个排列),使其完成时间和 达到最小。(追求的是平均等待时间最小化)
3个作业的6种可能的调度方案是1,2,3;1,3,2;2,1,3;2,3,1; 3,1,2;3,2,1;它们所相应的完成时间和分别是19,18,20,21, 19,19。易见,最佳调度方案是1,3,2,其完成时间和为18。


关于排列树的时间复杂性的讨论
一颗n层的解空间树;时间复杂性的递归定义是

符号三角形问题
n皇后问题
在n×n格的棋盘上放置彼此不受攻击的n个皇后。按照国际象棋的规则,皇后可 以攻击与之处在同一行或同一列或同一斜线上的棋子。n后问题等价于在n×n格 的棋盘上放置n个皇后,任何2个皇后不放在同一行或同一列或同一斜线上。

以n=4皇后问题为例
第一种:解空间是4叉树
每个皇后在一行上有四个可选位置(显约束:任两皇后不同行)

n后问题(n叉树)算法
- 解向量:($x_1 , x_2 , … , x_n$ )
- 显约束:$x_i$=1,2, … ,n 。 任两皇后不同行
- 隐约束:(1)不同列:$x_i\neq x_j$ (2)不处于同一正\ 反对角线:$|i-j| \neq |x_i -x_j |$
bool Queen:Place(int k)
{
for (int j=1;j<k;j++)
if ((abs(k-j)==abs(x[j]- x[k])) ||(x[j]==x[k]))
return false;
return true;
}
void Queen::Backtrack(int t)
{
if (t>n) sum++;
else
for (int i=1;i<=n;i++) {
x[t]=i;
if (Place(t)) Backtrack(t+1);
}
}
以n=4皇后问题为例
第二种:解空间是排列树
显约束: 任两个皇后不 同行、不同列

n后问题(排列树)算法
解向量:($x_1 , x_2 , … , x_n$ )
显约束:任两皇后不同行、不同列。x1x2….xn是1,2,….n排列
隐约束:不处于同一正\ 反对角线:$|i-j| \neq |x_i -x_j |$
bool Queen:Place(int k)
{
for (int j=1;j<k;j++)
if (abs(k-j)==abs(x[j]-x[k]))
return false;
return true;
}
void Queen::Backtrack(int t)
{
if (t>n) sum++;
else
for (int i=t;i<=n;i++) {
swap(x[t],x[i]);
if (Place(t))
Backtrack(t+1);
swap(x[t],x[i]);
}
}
0-1背包问题
解空间:子集树
可行性约束函数:$\stackrel{n}{\sum\limits_{i=1}} w_ix_i \leq c_i$
void Backtrack(int i)
{if (i>n) {//到达叶节点
bestp=cp; return;}
if(cw+w[i]<=c){\\进入左子树
cw+=w[i];
cp+=p[i];
Backtrack(i+1);
cw-=w[i];
cp-=p[i];}
if(Bound(i+1)>bestp)\\进入右子树
Backtrack(i+1);
}
限界函数:Bound(i)

template<class Typew, class Typep>
Typep Knap<Typew, Typep>::Bound(int i)
{// 计算上界
Typew cleft = c - cw; // 剩余容量, cw当前在背包中物品重量
Typep b = cp; //cp当前在背包中物品价值
// 以物品单位重量价值递减序装入物品
while (i <= n && w[i] <= cleft) {
cleft -= w[i];
b += p[i];
i++;
}
// 装满背包
if (i <= n) b += p[i]/w[i] * cleft;
return b;
}
最大团问题
给定无向图G=(V,E)。如果UV,且对任意u,vU,有(u,v)E, 则称U是G的完全子图。
完全子图U是G的团当且仅当U不包含在G的更大的完全子图中。
G的最大团是指G中所含顶点数最多的团。

解空间:子集树
可行性约束函数:顶点i到已选入的顶点集中每一个顶点都有边相连。
上界函数:有足够多的可选择顶点使得算法有可能在右子树中找到更大的团
void backtrack(int i)
{ if (i > n) {// 到达叶结点
for (int j = 1; j <= n; j++) bestx[j] = x[j];
bestn = cn; return; }
// 检查顶点 i 与当前团的连接
boolean ok = true;
for (int j = 1; j < i; j++)
if (x[j] == 1 && !a[i][j]) {// i与j不相连
ok = false; break; }
if (ok) {// 进入左子树
x[i] = 1; cn++;
backtrack(i + 1);
cn--; }
if (cn + n - i > bestn) {// 进入右子树
x[i] = 0;
backtrack(i + 1); }
}

复杂度分析 最大团问题的回溯算法backtrack所需的计算 时间显然为$O(n2^n )$。
图的m着色问题
给定无向连通图G和m种不同的颜色。用这些颜色为图G的各顶点 着色,每个顶点着一种颜色。是否有一种着色法使G中每条边的2 个顶点着不同颜色。这个问题是图的m可着色判定问题。若一个 图最少需要m种颜色才能使图中每条边连接的2个顶点着不同颜色, 则称这个数m为该图的色数。求一个图的色数m的问题称为图的m 可着色优化问题。

解向量:($x_1 , x_2 , … , x_n$ )表示顶点i所着颜色$x_i$
可行性约束函数:顶点i与已着色的相邻顶点颜色不重复。
void backtrack(int t)
{
if (t>n) sum++;
else
for (int i=1;i<=m;i++) {
x[t]=i;
if (ok(t)) backtrack(t+1);
}
}
boolean ok(int k)
{// 检查颜色可用性
for (int j=1;j<k;j++)
if (a[k][j] && (x[j]==x[k])) return false;
return true;
}

圆排列问题
旅行售货员问题
回溯法效率分析
回溯算法的效率在很大程度上依赖于以下因素:
- 产生x[k]的时间;
- 满足显约束的x[k]值的个数;
- 计算约束函数constraint的时间;
- 计算限界函数bound的时间;
- 满足约束函数和限界函数约束的所有x[k]的个数。
好的剪枝函数能显著地减少所生成的结点数。但这样的剪枝函数往往计算量较大。因此,需要权衡3,4跟5重排原理对于许多问题而言,在搜索试探时选取x[i]的值顺序是任意的。在其他
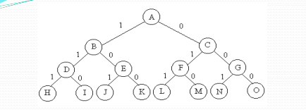
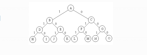
重排原理
对于许多问题而言,在搜索试探时选取x[i]的值顺序是任意的。在其他条件相当的前提下,让可取值最少的x[i]优先。从图中关于同一问题的2棵不同解空间树,可以体会到这种策略的潜力。

图(a),从第1层剪去1棵子树,则从所有应当考虑的3元组中一次消去12个3元组
图(b),虽然同样从第1层剪去1棵子树,却只从应当考虑的3元组中消去8个3元组
回溯法小结
-
回溯法解决的问题,其解可以表示成n元组的形式。
-
确定易于求解的解空间树。常用:子集树、排列树、n叉树等
一个问题若有多种解空间树,评价:最后一层叶子结 点的数量越少越好。
-
剪枝函数的设计:要求在保证剪枝效率的情况下计算尽量简单。
子集树:通常左分支使用约束函数、右分支使用限界函数剪枝。
排列树或n叉树:每个分支剪枝条件(函数)是相同的。
-
回溯法的套路:在递归调用backtrack()前、后的代码动作是相反的
-
到达叶子结点时,通常一个新解就产生了。
如果是求最优解, 你要确定需不需要跟之前的最优解比较来更新最优解。有些情况是必须要经过比较确认后才能更新为当前最优解。